Crean un modelo matemático que predice los efectos secundarios que pueden provocar los medicamentos contra el cáncer

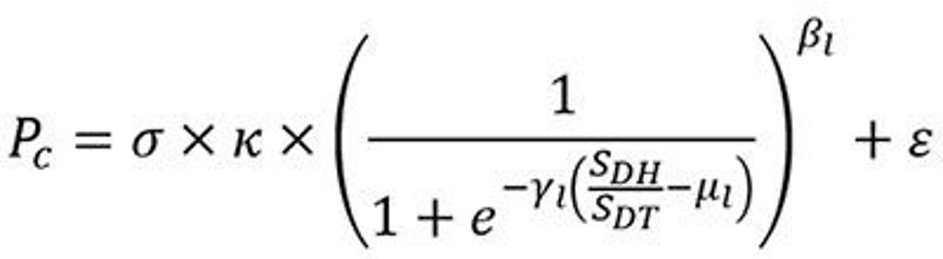
Modelo matemático para el metabolismo de fármacos por UGT1A1
Modelo matemático para el metabolismo de fármacos por UGT1A1 - UNIVERSIDAD DE KOBE
Infosalus
Publicado: viernes, 27 diciembre 2019 18:53


MADRID, 27 Dic. (EUROPA PRESS) -

Investigadores de la Kobe University (Japón) han desarrollado un modelo matemático que predice la probabilidad de efectos secundarios que pueden provocar los medicamentos contra el cáncer en los pacientes, como consecuencia de las mutaciones genéticas en la enzima metabolizadora de medicamentos.

Publicado en la revista 'Plos One', el método permite hacer predicciones sobre la efectividad del tratamiento del cáncer y los efectos secundarios en relación con el metabolismo del fármaco y su efectividad en la administración.

De hecho, el método es capaz de predecir la capacidad de los mutantes UGT1A1 para metabolizar el agente anticancerígeno con alta precisión. Se espera que esta metodología pueda usarse para predecir la posibilidad de efectos secundarios de los medicamentos contra el cáncer antes de que se receten, incluso para las mutaciones recientemente descubiertas de UGT1A1.

Últimas noticias sobre estos temas

Contenido patrocinado